By Sarah Shahin
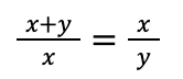
Figure 1
Visual representation of the bitumen filled microcapsules in asphalt pavement healing cracks (Zghoundi et al., 2023)
Imagine you are driving over a tiny crack in the road. Small dents in the pavement that do not really bother you. After all, you would not actually feel it, right? But, over time, those small cracks will grow into bigger cracks before becoming potholes due to repeated stress, weathering, and freezing cycles. That is when they really become noticeable. Those large holes become dangerous to drivers and damage vehicles, but what if they could heal themselves?
Road maintenance is costly, labor-intensive, and time-consuming, but scientists are developing microcapsules filled with a petroleum-based mixture called bitumen. These capsules can be mixed into the asphalt one at a time through paving, as filling in the microcracks early on prevents the cracks from becoming a bigger problem. For example, when a crack—so small that it cannot be seen—forms in the road, the microcapsules are ruptured and release the bitumen. As it cures over the next few days, it will still be safe to drive and walk over it as per usual.
How is this Cost Effective and Sustainable?
This solution means a 10-15% higher cost for road pavement. But the amount of money that will potentially be saved over time in maintenance costs will make the initial sacrifice worth it. Scientists are also looking at using cooking oil waste in the bitumen. Recycling the cooking oil would be a step towards achieving sustainable development of road engineering (Xu Xu., 2025). These microcapsules can achieve impressive recovery rates, with healing efficiencies ranging from 30% to 90% (Zghoundi et al., 2023), making the investment worthwhile and saving millions long term. Road repairs are expensive, time-consuming, and harmful to the environment. In the United States alone, 169 billion dollars are spent annually on roadway repair, and globally, pothole-related damage costs more than 100 billion dollars worldwide. Repairing potholes can take several hours and sometimes even days. These processes have awful effects on the environment as well. Successfully reducing the number of times roads need to be repaired would be a great achievement.
Why would this be Meaningful and Helpful?
Worldwide, there have been around 1.3 million deaths and injuries related to potholes, and 240 million tires are damaged in the United States each year due to potholes. Many American roads have been around for longer than they were originally designed to last, often being around 50 years old when they were originally only intended to last 20-30 years. In 2022, research completed by the Bureau of Transportation Statistics showed that out of 786,000 miles of roadway across the United States, 157,000 miles are in poor condition. Improving the condition of American roads is a crucial step towards better infrastructure in the United States.
Scientists have been looking at different vessels for the self-healing mechanism as well, such as plant spores. At Swansea University, a team of scientists did lab tests where bitumen-filled plant spores repaired small fractures within an hour of them first appearing (Guardian, 2025). In China, the world’s first self-healing road was built in 2014. After observing the roads for many years, data showed a significant reduction in microcracks.
Obstacles
There are barriers and setbacks to the implementation of the bitumen microcapsules. The initial cost would be significantly higher, around 10-15%, but this money would be saved once the microcracks start to form, and less money needs to be spent on repairs. There is also limited knowledge about the consequences of the broken microcapsules remaining in the bitumen after the self-healing process is done, and whether it will impact the effectiveness of the binding agent. There are also questions about whether or not the bitumen capsules could work in pre-paved roads. If scientists and engineers, through testing and analysis, can find answers to these questions, the results could be astounding.
Future Opportunity
Looking forward, monitoring systems and predictive technology, enhanced with AI, could lead to roads that can self-monitor and self-repair. Zero-maintenance roads, requiring very little human intervention, combined with smart and sustainable technology, could be an extraordinary innovation.
Self-healing asphalt is the future of infrastructure and road repair. It can help reduce fatalities due to potholes and save billions of dollars worldwide. Now more than ever, the world is looking for sustainable solutions to problems like potholes, and these microcapsules are an incredible option.
Bibliography:
Jiang, T., Cao, X., Hao, Z., Wei, K., Shan, B., & Tang, B. (2025). Adaptability of microcapsules in asphalt and their enhancement of flowability and self-healing. Journal of Industrial and Engineering Chemistry. https://doi.org/10.1016/j.jiec.2025.06.042
Yang, P., Wang, L.-Q., Gao, X., Wang, S., & Su, J.-F. (2021). Smart Self-Healing Capability of Asphalt Material Using Bionic Microvascular Containing Oily Rejuvenator. Materials, 14(21), 6431. https://doi.org/10.3390/ma14216431
Zargar, M., Su, J. F., & Sun, D. Q. (2021, February 6). Understanding the final surface state of self-healing microcapsules containing rejuvenator in bituminous binder of Asphalt. Colloids and Surfaces A: Physicochemical and Engineering Aspects. https://www.sciencedirect.com/science/article/abs/pii/S0927775721001564
Estimator53. (2024, July 27). How Much Does a Mile of Asphalt Cost? Estimate Florida Consulting. https://estimatorflorida.com/how-much-does-a-mile-of-asphalt-cost/
Coach, T. S. (2025, April 11). Self-Healing Asphalt with Plant Spores and AI. TorontoStarts. https://torontostarts.com/2025/04/11/self-healing-asphalt-revolution/
Xu, Xu, (2025, June 21) “Application of Microencapsulated Waste Cooking Oil in Bitumen: Responsiveness and Bitumen Performance Changes.” Fuel, vol. 402, 21 June 2025, p. 136026, www.sciencedirect.com/science/article/abs/pii/S001623612501751X, https://doi.org/10.1016/j.fuel.2025.136026.
Zghoundi, Y., Akkouri, N., Taha, Y., & Boutgoulla, M. (2023). Self-healing Microencapsulation Technology for Asphalt Pavements: A Review. NanoWorld Journal, 9. https://doi.org/10.17756/nwj.2023-s2-058
Guardian News and Media. (2025, February 3). Farewell potholes? UK team invents self-healing road surface. The Guardian. https://www.theguardian.com/science/2025/feb/03/farewell-potholes-uk-team-invents-self-healing-road-surface








